influence sur l’opinion des médias sociaux comparée aux autres types et aux annéesprécédentes–Suisse et régions linguistiques
Vous aimerez aussi
-
Les radios privées d’Autriche, d’Allemagne et de Suisse lancent un appel commun
-
L'ARARO 2026 explore les besoins des auditeurs et l’éducation aux médias
-
L’audience radio reste solide malgré la désactivation partielle de la bande FM
-
La Scam alerte sur l’avenir incertain des radios publiques européennes
-
Royaume-Uni : la radio commerciale établit des records d’audience
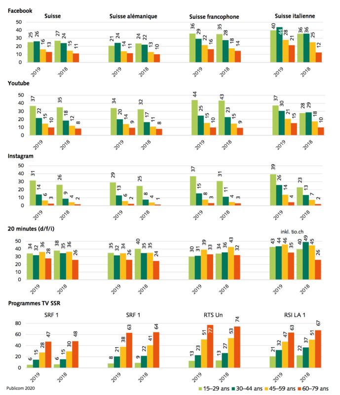
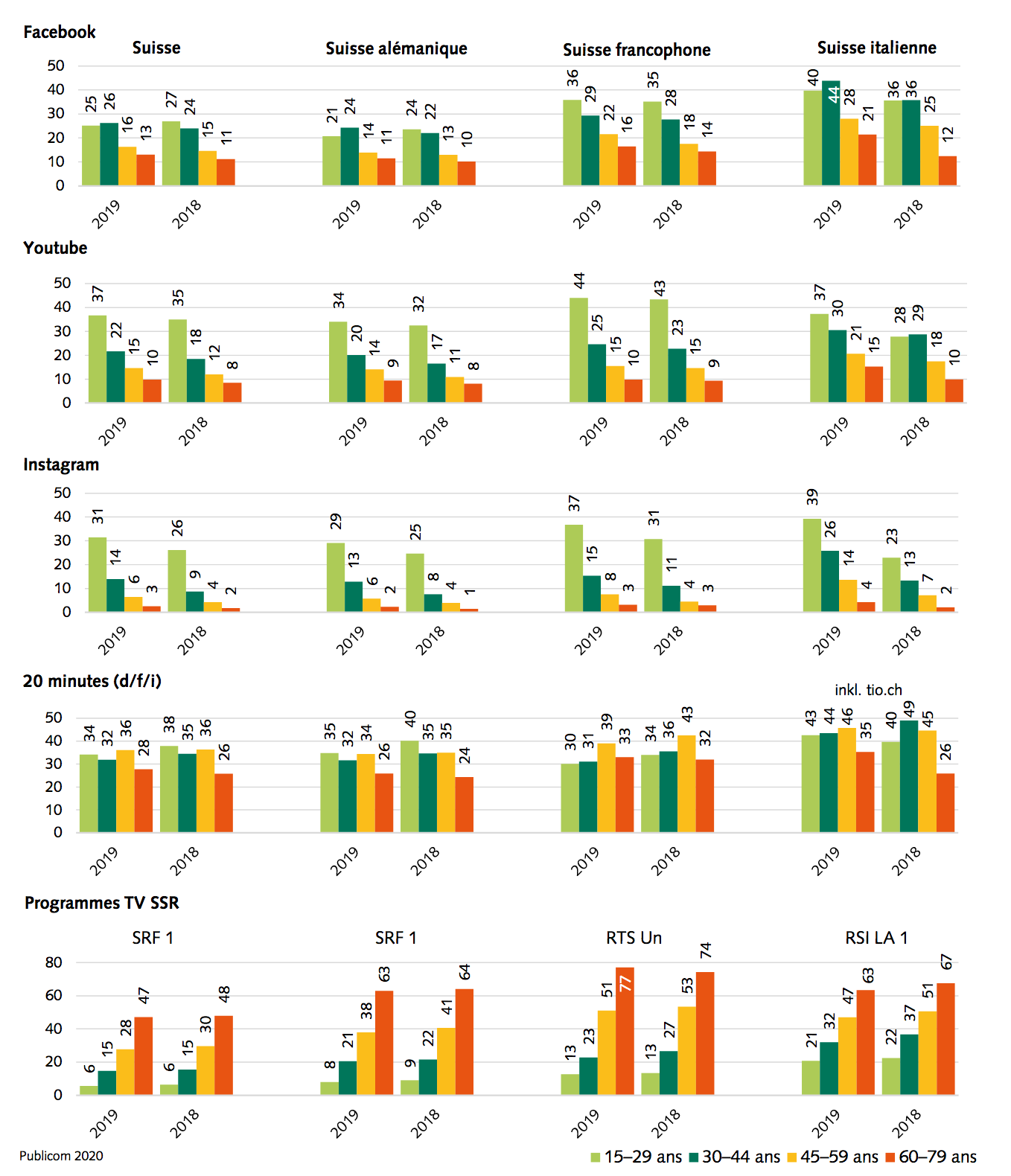
Les médias sociaux pèsent de plus en plus dans la formation de l'opinion des jeunes suisses. Avec une part de 34%, ils exercent la plus grande influence sur la formation de l'opinion chez les jeunes entre 15 et 29 ans, devant la radio (21%), les médias d'information en ligne (18%), la presse écrite (16%) et la télévision (11%). Cette tendance est encore plus marquée en Suisse romande, où les médias sociaux représentent près de la moitié (45%) du pouvoir d'influence sur l'opinion dans cette tranche d'âge.
L'influence des médias d'information en ligne sur la formation de l'opinion des jeunes a évolué différemment d'une région linguistique à l'autre. Alors que, en Suisse italienne, ces médias ont gagné 8 points de pourcentage par rapport à 2018 (de 14% à 22%), leur importance n'a augmenté que d'un point en Suisse romande (de 11% à 12%).
En Suisse alémanique, leur part au potentiel de formation de l'opinion a même baissé de 22% en 2018 à 19% en 2019.
L'influence des médias d'information en ligne sur la formation de l'opinion des jeunes a évolué différemment d'une région linguistique à l'autre. Alors que, en Suisse italienne, ces médias ont gagné 8 points de pourcentage par rapport à 2018 (de 14% à 22%), leur importance n'a augmenté que d'un point en Suisse romande (de 11% à 12%).
En Suisse alémanique, leur part au potentiel de formation de l'opinion a même baissé de 22% en 2018 à 19% en 2019.
La télévision demeure le média le plus influent
Si l'on considère l'ensemble de la population, la télévision est le principal média utilisé pour se forger une opinion. En 2019, elle représente 28% du potentiel relatif de formation de l'opinion. La radio occupe le deuxième rang (22%), suivie par la presse écrite (20%), les médias d'information en ligne (17%) et les médias sociaux (13%).
Diversité en baisse
Le Monitoring médias Suisse examine aussi la situation de la propriété et de l'actionnariat sur le marché des médias. Trois nouvelles disparitions sur le marché ont été enregistrées en 2019, contre six en 2018. En Suisse, la population dispose toujours d'une offre de médias suffisamment variée pour couvrir ses besoins d'information à travers différentes sources. Toutefois, le regroupement de rédactions (rédactions centrales chez TX Group, centralisation à la SSR) ou de structures d'organisation complètes (CH Media) a probablement conduit à une réduction de la diversité des contenus, du moins en ce qui concerne l'information suprarégionale. Les auteurs de l'étude estiment que cette évolution est peu favorable à une formation de l'opinion équilibrée.



















