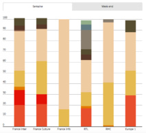
En 2015, la structure globale des programmes des radios généralistes pendant la semaine reste similaire à celle de 2014, avec une prépondérance des journaux d’information, qui représentent en moyenne un tiers de l’offre de programmes. Cette part est toutefois variable selon les chaînes (-5 points à 37 % en moyenne pour France Inter, -3 points à 30 % pour RTL et -6 points à 36 % pour Europe 1). Du fait de leur positionnement de chaînes d’information, France Info et RMC se distinguent avec une part accordée aux journaux nettement plus importante, respectivement 84 % et 56 % (58 % en 2014 pour RMC).
Vous aimerez aussi
-
EAR Podcast : plus de 168 millions d’écoutes dans le monde en février
-
L’ACPM dévoile les chiffres de l’écoute numérique des radios en février
-
Municipales 2026 : le dispositif de Radio France se déploie sur toutes les antennes
-
[Conf-Award] J2-15h - Audace et Audience, quand la créativité fait grandir l’audience
-
[Conf-Award] J2-13h - Diversification Editoriale - Podcasts, vidéo, événements : élargir la radio au-delà des ondes
L’observation des grilles des matinales le week-end révèle également une prédominance de la part accordée aux journaux et interviews en 2015 (+4 points à 57 % du temps d’antenne pour Le 7/9 et -4 points à 51 % pour RTL Matin). La part des journaux et interviews décroit sur Europe 1 Matin (-10 points à 53 % du volume horaire en 2015), au profit notamment de la catégorie "Divers" qui regroupe les pronostics hippiques. En 2015, les politiques sont toujours en tête du classement des personnalités invitées dans les matinales durant la semaine.
Lire l'intégralité de l'article ICI
Lire l'intégralité de l'article ICI
















